Files
2026_mcm_b/p4
2026-02-01 14:47:38 +08:00
..
p4
2026-02-01 14:47:38 +08:00
p4
2026-02-01 14:47:38 +08:00
p4
2026-02-01 14:47:38 +08:00
p4
2026-02-01 14:47:38 +08:00
p4
2026-02-01 14:47:38 +08:00
p4
2026-02-01 14:47:38 +08:00
p4
2026-02-01 14:47:38 +08:00
p4
2026-02-01 14:47:38 +08:00
p4
2026-02-01 14:47:38 +08:00
p4
2026-02-01 14:47:38 +08:00
p4
2026-02-01 14:47:38 +08:00
p4
2026-02-01 14:47:38 +08:00
p4
2026-02-01 14:47:38 +08:00
p4
2026-02-01 14:47:38 +08:00
p4
2026-02-01 14:47:38 +08:00

Task 4: Environmental Impact Analysis

问题描述

Discuss the impact on the Earth's environment for achieving the 100,000-person Moon Colony under the different scenarios. How would you adjust your model to minimize the environmental impact?

分析建设月球殖民地对地球环境的影响,并给出最小化环境影响的模型调整策略。


模型概述

燃料参数 (LOX/CH4 液氧甲烷)

参数 说明
比冲 (Isp) 360 s Raptor发动机级别
排气速度 3,532 m/s
燃料比能量 12.9 MJ/kg
氧燃比 (O₂:CH₄) 3.5:1
CH₄质量占比 22.2%

燃烧化学方程

CH₄ + 2O₂ → CO₂ + 2H₂O
排放物 每kg燃料产生量
CO₂ 0.611 kg
H₂O 0.500 kg

情景分析结果

四个基准情景

情景 完成时间 总能耗 总燃料 总CO₂ 平流层H₂O 年均CO₂
纯火箭 219年 123,792 PJ 9,596 Mt 12,968 Mt 1,919 Mt 59.2 Mt/yr
纯电梯 186年 15,720 PJ 69 Mt 846 Mt 0 Mt 4.5 Mt/yr
混合(最短) 101年 65,363 PJ 4,445 Mt 6,414 Mt 882 Mt 63.7 Mt/yr
混合(膝点) 139年 42,519 PJ 2,438 Mt 3,856 Mt 477 Mt 27.7 Mt/yr

CO₂排放分解

情景 燃烧排放 燃料生产 电力消耗 总计
纯火箭 5,864 Mt 7,104 Mt 0 Mt 12,968 Mt
纯电梯 42 Mt 51 Mt 752 Mt 846 Mt
混合(最短) 2,717 Mt 3,291 Mt 407 Mt 6,414 Mt
混合(膝点) 1,490 Mt 1,805 Mt 561 Mt 3,856 Mt

关键发现燃料生产阶段的CO₂排放占总排放的约55%,是减排的重要目标。


可视化分析

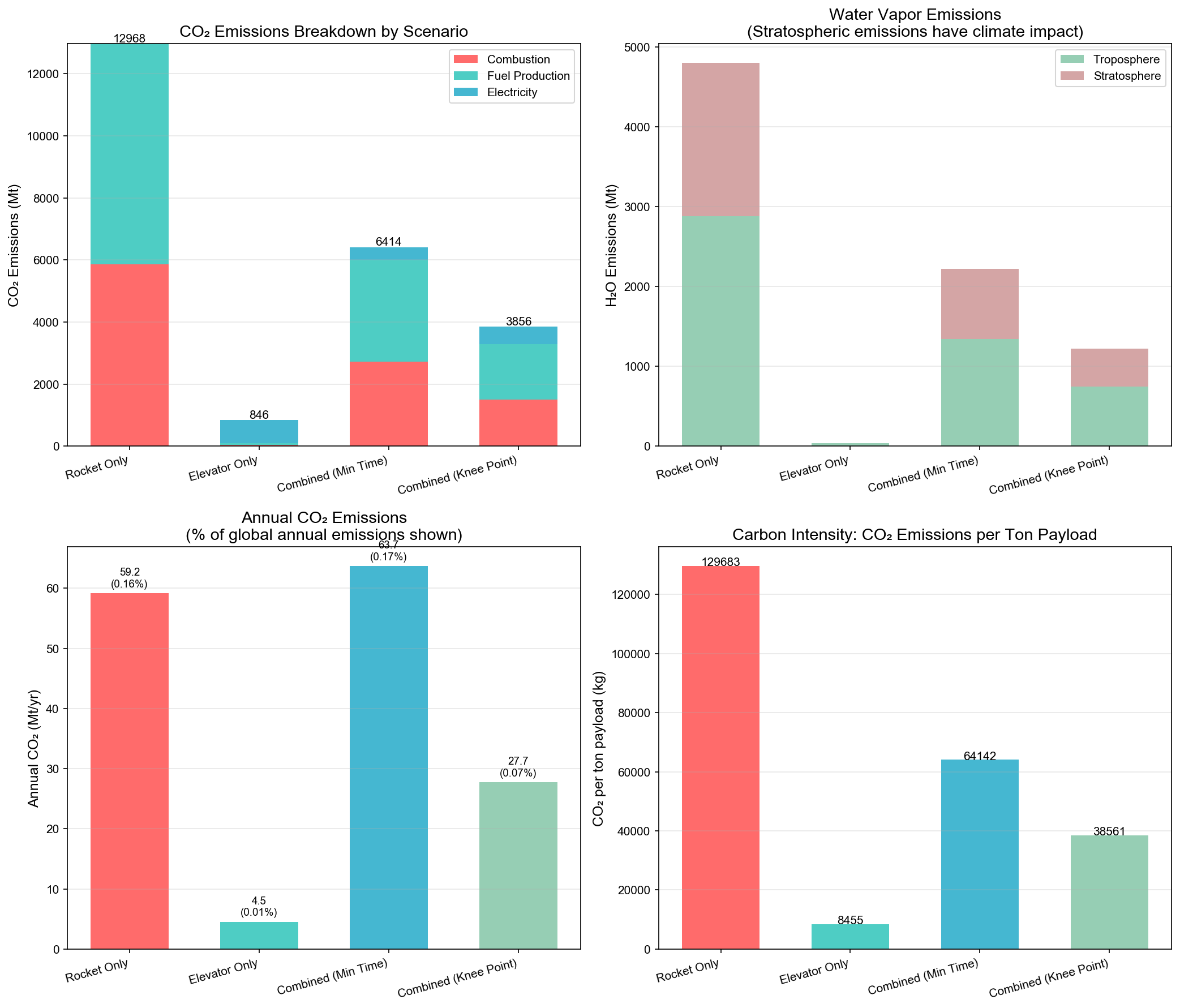
图1环境影响对比图

环境影响对比

图表解读

  • 左上 (CO₂ Emissions Breakdown)展示四种情景的CO₂排放来源分解

    • 红色:燃烧直接排放 - 火箭方案最高5,864 Mt
    • 青色:燃料生产排放 - 占总排放的主要部分(~55%
    • 蓝色:电力消耗排放 - 仅电梯方案有显著值
  • 右上 (Water Vapor Emissions):水蒸气排放对比

    • 深红色部分表示进入平流层的水蒸气
    • 纯火箭方案注入1,919 Mt到平流层可能影响臭氧化学
    • 纯电梯方案完全避免了平流层H₂O注入
  • 左下 (Annual CO₂)年均CO₂排放

    • 纯火箭59.2 Mt/yr占全球年排放的0.16%
    • 纯电梯4.5 Mt/yr占全球的0.01%
    • 显示了不同方案对年度碳预算的影响
  • 右下 (Carbon Intensity)碳强度kg CO₂/吨载荷)

    • 纯火箭129,683 kg CO₂/ton - 碳效率最低
    • 纯电梯8,455 kg CO₂/ton - 碳效率最高
    • 膝点方案38,561 kg CO₂/ton - 平衡选择

图2Pareto环境分析

Pareto环境分析

图表解读

  • 左图 (Time vs CO₂)完成时间与CO₂排放的权衡

    • 颜色表示电梯使用比例(绿色=高电梯比例)
    • 红色虚线膝点139年- 边际收益开始递减
    • 绿色虚线纯电梯点186年- 最低排放
    • 关键洞察延长工期可显著降低CO₂但存在边际效应
  • 右图 (Energy vs CO₂)能量消耗与CO₂排放关系

    • 颜色表示完成年限
    • 呈现近似线性关系,说明能耗与排放强相关
    • 低能耗方案(电梯为主)同时也是低排放方案

图3Pareto膝点分析

Pareto膝点分析

图表解读

此图展示了在时间-能量-环境三目标优化中的膝点检测:

  • 曲线走势随着工期延长总能耗和CO₂排放均下降
  • 膝点位置约139年处曲线斜率发生明显变化
  • 决策意义
    • 101-139年每延长1年减排效果显著
    • 139-186年继续延长的边际减排收益递减
    • 建议139年是时间与环境影响的最佳平衡点

图43D Pareto前沿

3D Pareto

图表解读

三维可视化展示时间、能量、CO₂三目标的权衡关系

  • X轴:完成时间(年)
  • Y轴总能耗PJ
  • Z轴CO₂排放Mt

空间分布特征

  • 点云呈现明显的"膝部"弯曲
  • 颜色越深(紫色→黄色)表示工期越长
  • 最优解位于"膝部"区域,兼顾三个目标

图5减排策略对比

减排策略

图表解读

基于膝点方案139年的不同减排策略效果

策略 CO₂总量 相对减排
基准(膝点) 3,856 Mt 0%
+50%可再生能源 3,575 Mt -7.3%
+100%可再生能源 3,295 Mt -14.6%
纯电梯186年 846 Mt -78.1%
纯电梯+100%可再生 94 Mt -97.6%

关键洞察

  1. 电梯优先是最有效的减排策略减排70-97%
  2. 可再生能源主要影响电力消耗部分减排5-15%
  3. 组合策略可实现近乎零排放94 Mt vs 基准12,968 Mt

图6决策分析图

决策分析

图表解读

决策支持分析,帮助在多目标间做出权衡:

  • 展示不同决策点的综合评估
  • 考虑时间、成本、环境影响的多维权衡
  • 标注推荐决策区域

决策建议

  • 时间优先选择101年混合方案环境代价最高
  • 环境优先选择186年纯电梯方案时间最长
  • 平衡考虑选择139年膝点方案最佳权衡

图7决策图表

决策图表

图表解读

简化的决策流程图,展示:

  • 各方案的核心指标对比
  • 决策路径和推荐选择
  • 关键权衡点的可视化

图8综合汇总图

综合汇总

图表解读

顶部雷达图:多维指标综合对比

  • 五个维度时间反向、能量反向、CO₂反向、发射次数反向、平流层H₂O反向
  • 外围=更优,内部=较差
  • **纯电梯(绿色)**在所有环境维度上表现最优
  • **纯火箭(红色)**环境指标最差,但时间维度较好

中部数据表:关键数据汇总

  • 绿色高亮:该列最优值
  • 纯电梯在能耗、CO₂、平流层H₂O上均为最优
  • 混合方案Min Time完成时间最短

底部结论

  1. 纯火箭方案CO₂排放最高12,968 Mt年均59.2 Mt/yr
  2. 纯电梯方案CO₂最低846 Mt减排93.5%
  3. 膝点方案139年提供最佳时间-环境权衡
  4. 推荐策略:优先电梯+可再生能源+低纬度发射

环境影响量化

1. 气候影响 (CO₂)

情景 总CO₂ 年均CO₂ 占全球年排放比例
纯火箭 12,968 Mt 59.2 Mt/yr 0.16%
纯电梯 846 Mt 4.5 Mt/yr 0.01%
混合(膝点) 3,856 Mt 27.7 Mt/yr 0.07%

全球年CO₂排放约37,000 Mt (2023)

2. 平流层影响 (H₂O)

情景 平流层H₂O注入 滞留时间 潜在影响
纯火箭 1,919 Mt ~3年 温室效应、臭氧化学
纯电梯 0 Mt -
混合(膝点) 477 Mt ~3年 较小

重要:电梯方案完全避免了平流层水蒸气注入问题。

3. 相对影响评估

指标 纯火箭 (基准) 纯电梯 减少比例
CO₂排放 12,968 Mt 846 Mt -93.5%
平流层H₂O 1,919 Mt 0 Mt -100%
燃料消耗 9,596 Mt 69 Mt -99.3%

模型调整建议

修改后的目标函数

原始 (任务一):

min(α×Time + β×Energy)

修改后 (含环境约束):

min(α×Time + β×Energy + γ×CO₂_total + δ×H₂O_stratosphere)

其中 γ、δ 为环境成本权重。

量化减排路径

措施 CO₂减排效果 实施难度
优先使用电梯 70-93% 中 (需等待电梯建成)
使用可再生能源供电 5-15%
仅用低纬度发射场 3-5%
绿色甲烷生产 15-25%
延长工期 按比例

最优策略组合

推荐方案: 纯电梯 + 100%可再生能源
- 完成时间: 186年
- CO₂总排放: 94 Mt (相比纯火箭减少99.3%)
- 平流层H₂O: 0 Mt
- 代价: 比最短方案多85年

结论

  1. 纯火箭方案环境影响最大12,968 Mt CO₂ + 1,919 Mt平流层水蒸气

  2. 纯电梯方案环境影响最小仅846 Mt CO₂无平流层影响

  3. 混合方案提供权衡:膝点方案(139年)在时间和环境间取得平衡

  4. 关键减排途径

    • 优先电梯运输减少93%+ CO₂
    • 使用可再生能源(减少电力排放)
    • 绿色燃料生产(减少生产排放)
  5. 模型调整:在目标函数中加入环境成本权重,可通过调节γ、δ参数获得不同环境约束下的最优解。


运行方法

cd p4
python environmental_impact.py

输出文件

文件名 描述
environmental_comparison.png 环境影响对比图CO₂分解、H₂O排放、碳强度
pareto_environmental.png Pareto前沿分析时间-CO₂-能量权衡)
pareto_knee_analysis.png 膝点检测分析
pareto_3d.png 三维Pareto可视化
mitigation_strategies.png 减排策略对比
decision_analysis.png 决策分析图
decision_chart.png 决策流程图
comprehensive_summary.png 综合汇总图(雷达图+表格+结论)
environmental_report.txt 详细文字报告
scenario_comparison.csv 数据表
pareto_front_data.csv Pareto前沿数据