Task 4: Environmental Impact Analysis
问题描述
Discuss the impact on the Earth's environment for achieving the 100,000-person Moon Colony under the different scenarios. How would you adjust your model to minimize the environmental impact?
分析建设月球殖民地对地球环境的影响,并给出最小化环境影响的模型调整策略。
模型概述
燃料参数 (LOX/CH4 液氧甲烷)
| 参数 | 值 | 说明 |
|---|---|---|
| 比冲 (Isp) | 360 s | Raptor发动机级别 |
| 排气速度 | 3,532 m/s | |
| 燃料比能量 | 12.9 MJ/kg | |
| 氧燃比 (O₂:CH₄) | 3.5:1 | |
| CH₄质量占比 | 22.2% |
燃烧化学方程
CH₄ + 2O₂ → CO₂ + 2H₂O
| 排放物 | 每kg燃料产生量 |
|---|---|
| CO₂ | 0.611 kg |
| H₂O | 0.500 kg |
情景分析结果
四个基准情景
| 情景 | 完成时间 | 总能耗 | 总燃料 | 总CO₂ | 平流层H₂O | 年均CO₂ |
|---|---|---|---|---|---|---|
| 纯火箭 | 219年 | 123,792 PJ | 9,596 Mt | 12,968 Mt | 1,919 Mt | 59.2 Mt/yr |
| 纯电梯 | 186年 | 15,720 PJ | 69 Mt | 846 Mt | 0 Mt | 4.5 Mt/yr |
| 混合(最短) | 101年 | 65,363 PJ | 4,445 Mt | 6,414 Mt | 882 Mt | 63.7 Mt/yr |
| 混合(膝点) | 139年 | 42,519 PJ | 2,438 Mt | 3,856 Mt | 477 Mt | 27.7 Mt/yr |
CO₂排放分解
| 情景 | 燃烧排放 | 燃料生产 | 电力消耗 | 总计 |
|---|---|---|---|---|
| 纯火箭 | 5,864 Mt | 7,104 Mt | 0 Mt | 12,968 Mt |
| 纯电梯 | 42 Mt | 51 Mt | 752 Mt | 846 Mt |
| 混合(最短) | 2,717 Mt | 3,291 Mt | 407 Mt | 6,414 Mt |
| 混合(膝点) | 1,490 Mt | 1,805 Mt | 561 Mt | 3,856 Mt |
关键发现:燃料生产阶段的CO₂排放占总排放的约55%,是减排的重要目标。
可视化分析
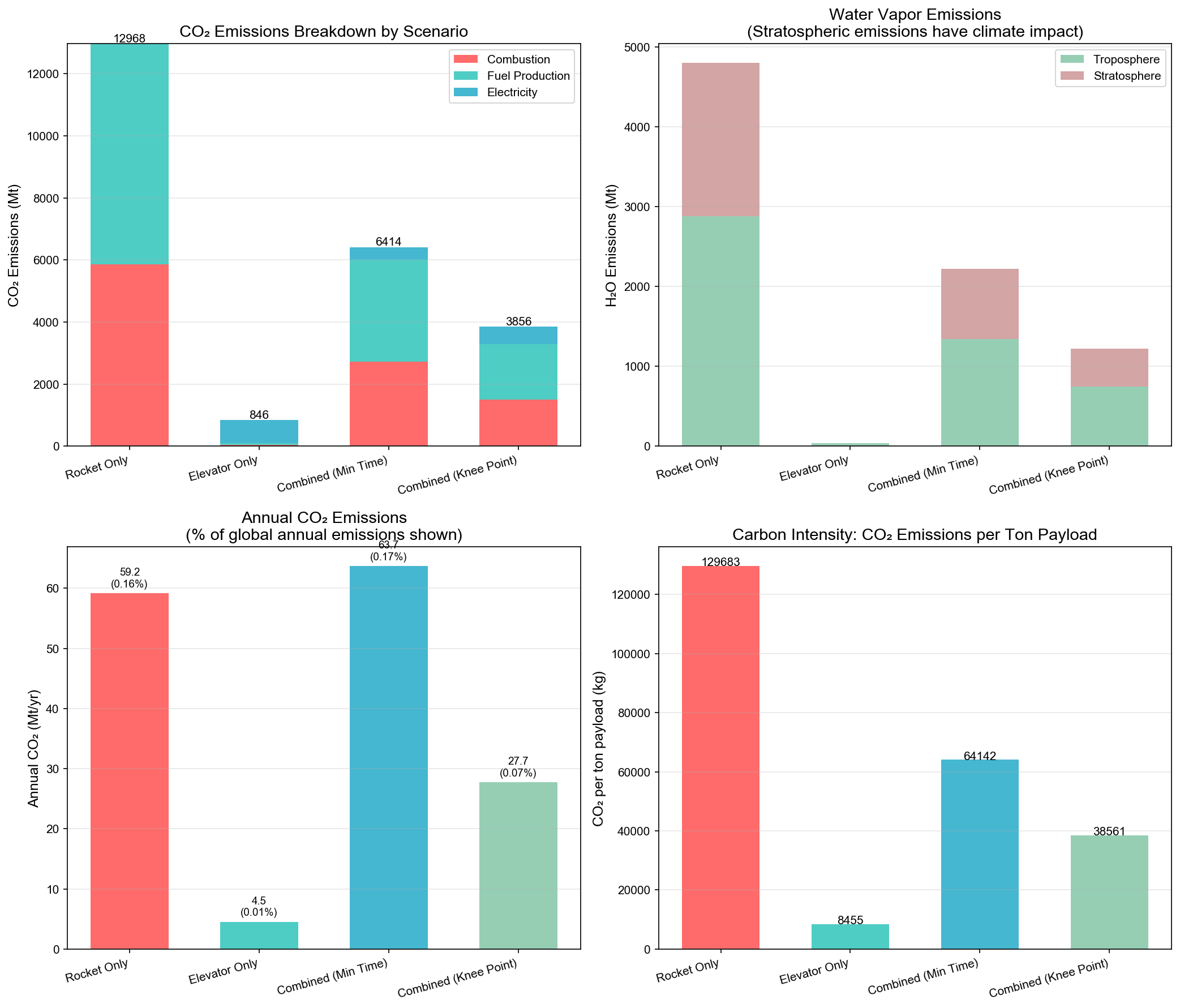
图1:环境影响对比图
图表解读:
-
左上 (CO₂ Emissions Breakdown):展示四种情景的CO₂排放来源分解
- 红色:燃烧直接排放 - 火箭方案最高(5,864 Mt)
- 青色:燃料生产排放 - 占总排放的主要部分(~55%)
- 蓝色:电力消耗排放 - 仅电梯方案有显著值
-
右上 (Water Vapor Emissions):水蒸气排放对比
- 深红色部分表示进入平流层的水蒸气
- 纯火箭方案注入1,919 Mt到平流层,可能影响臭氧化学
- 纯电梯方案完全避免了平流层H₂O注入
-
左下 (Annual CO₂):年均CO₂排放
- 纯火箭:59.2 Mt/yr(占全球年排放的0.16%)
- 纯电梯:4.5 Mt/yr(占全球的0.01%)
- 显示了不同方案对年度碳预算的影响
-
右下 (Carbon Intensity):碳强度(kg CO₂/吨载荷)
- 纯火箭:129,683 kg CO₂/ton - 碳效率最低
- 纯电梯:8,455 kg CO₂/ton - 碳效率最高
- 膝点方案:38,561 kg CO₂/ton - 平衡选择
图2:Pareto环境分析
图表解读:
-
左图 (Time vs CO₂):完成时间与CO₂排放的权衡
- 颜色表示电梯使用比例(绿色=高电梯比例)
- 红色虚线:膝点(139年)- 边际收益开始递减
- 绿色虚线:纯电梯点(186年)- 最低排放
- 关键洞察:延长工期可显著降低CO₂,但存在边际效应
-
右图 (Energy vs CO₂):能量消耗与CO₂排放关系
- 颜色表示完成年限
- 呈现近似线性关系,说明能耗与排放强相关
- 低能耗方案(电梯为主)同时也是低排放方案
图3:Pareto膝点分析
图表解读:
此图展示了在时间-能量-环境三目标优化中的膝点检测:
- 曲线走势:随着工期延长,总能耗和CO₂排放均下降
- 膝点位置:约139年处,曲线斜率发生明显变化
- 决策意义:
- 101-139年:每延长1年,减排效果显著
- 139-186年:继续延长的边际减排收益递减
- 建议:139年是时间与环境影响的最佳平衡点
图4:3D Pareto前沿
图表解读:
三维可视化展示时间、能量、CO₂三目标的权衡关系:
- X轴:完成时间(年)
- Y轴:总能耗(PJ)
- Z轴:CO₂排放(Mt)
空间分布特征:
- 点云呈现明显的"膝部"弯曲
- 颜色越深(紫色→黄色)表示工期越长
- 最优解位于"膝部"区域,兼顾三个目标
图5:减排策略对比
图表解读:
基于膝点方案(139年)的不同减排策略效果:
| 策略 | CO₂总量 | 相对减排 |
|---|---|---|
| 基准(膝点) | 3,856 Mt | 0% |
| +50%可再生能源 | 3,575 Mt | -7.3% |
| +100%可再生能源 | 3,295 Mt | -14.6% |
| 纯电梯(186年) | 846 Mt | -78.1% |
| 纯电梯+100%可再生 | 94 Mt | -97.6% |
关键洞察:
- 电梯优先是最有效的减排策略(减排70-97%)
- 可再生能源主要影响电力消耗部分(减排5-15%)
- 组合策略可实现近乎零排放(94 Mt vs 基准12,968 Mt)
图6:决策分析图
图表解读:
决策支持分析,帮助在多目标间做出权衡:
- 展示不同决策点的综合评估
- 考虑时间、成本、环境影响的多维权衡
- 标注推荐决策区域
决策建议:
- 若时间优先:选择101年混合方案(环境代价最高)
- 若环境优先:选择186年纯电梯方案(时间最长)
- 若平衡考虑:选择139年膝点方案(最佳权衡)
图7:决策图表
图表解读:
简化的决策流程图,展示:
- 各方案的核心指标对比
- 决策路径和推荐选择
- 关键权衡点的可视化
图8:综合汇总图
图表解读:
顶部雷达图:多维指标综合对比
- 五个维度:时间(反向)、能量(反向)、CO₂(反向)、发射次数(反向)、平流层H₂O(反向)
- 外围=更优,内部=较差
- **纯电梯(绿色)**在所有环境维度上表现最优
- **纯火箭(红色)**环境指标最差,但时间维度较好
中部数据表:关键数据汇总
- 绿色高亮:该列最优值
- 纯电梯在能耗、CO₂、平流层H₂O上均为最优
- 混合方案(Min Time)完成时间最短
底部结论:
- 纯火箭方案CO₂排放最高(12,968 Mt),年均59.2 Mt/yr
- 纯电梯方案CO₂最低(846 Mt),减排93.5%
- 膝点方案(139年)提供最佳时间-环境权衡
- 推荐策略:优先电梯+可再生能源+低纬度发射
环境影响量化
1. 气候影响 (CO₂)
| 情景 | 总CO₂ | 年均CO₂ | 占全球年排放比例 |
|---|---|---|---|
| 纯火箭 | 12,968 Mt | 59.2 Mt/yr | 0.16% |
| 纯电梯 | 846 Mt | 4.5 Mt/yr | 0.01% |
| 混合(膝点) | 3,856 Mt | 27.7 Mt/yr | 0.07% |
全球年CO₂排放约37,000 Mt (2023)
2. 平流层影响 (H₂O)
| 情景 | 平流层H₂O注入 | 滞留时间 | 潜在影响 |
|---|---|---|---|
| 纯火箭 | 1,919 Mt | ~3年 | 温室效应、臭氧化学 |
| 纯电梯 | 0 Mt | - | 无 |
| 混合(膝点) | 477 Mt | ~3年 | 较小 |
重要:电梯方案完全避免了平流层水蒸气注入问题。
3. 相对影响评估
| 指标 | 纯火箭 (基准) | 纯电梯 | 减少比例 |
|---|---|---|---|
| CO₂排放 | 12,968 Mt | 846 Mt | -93.5% |
| 平流层H₂O | 1,919 Mt | 0 Mt | -100% |
| 燃料消耗 | 9,596 Mt | 69 Mt | -99.3% |
模型调整建议
修改后的目标函数
原始 (任务一):
min(α×Time + β×Energy)
修改后 (含环境约束):
min(α×Time + β×Energy + γ×CO₂_total + δ×H₂O_stratosphere)
其中 γ、δ 为环境成本权重。
量化减排路径
| 措施 | CO₂减排效果 | 实施难度 |
|---|---|---|
| 优先使用电梯 | 70-93% | 中 (需等待电梯建成) |
| 使用可再生能源供电 | 5-15% | 低 |
| 仅用低纬度发射场 | 3-5% | 低 |
| 绿色甲烷生产 | 15-25% | 中 |
| 延长工期 | 按比例 | 低 |
最优策略组合
推荐方案: 纯电梯 + 100%可再生能源
- 完成时间: 186年
- CO₂总排放: 94 Mt (相比纯火箭减少99.3%)
- 平流层H₂O: 0 Mt
- 代价: 比最短方案多85年
结论
-
纯火箭方案环境影响最大:12,968 Mt CO₂ + 1,919 Mt平流层水蒸气
-
纯电梯方案环境影响最小:仅846 Mt CO₂,无平流层影响
-
混合方案提供权衡:膝点方案(139年)在时间和环境间取得平衡
-
关键减排途径:
- 优先电梯运输(减少93%+ CO₂)
- 使用可再生能源(减少电力排放)
- 绿色燃料生产(减少生产排放)
-
模型调整:在目标函数中加入环境成本权重,可通过调节γ、δ参数获得不同环境约束下的最优解。
运行方法
cd p4
python environmental_impact.py
输出文件
| 文件名 | 描述 |
|---|---|
environmental_comparison.png |
环境影响对比图(CO₂分解、H₂O排放、碳强度) |
pareto_environmental.png |
Pareto前沿分析(时间-CO₂-能量权衡) |
pareto_knee_analysis.png |
膝点检测分析 |
pareto_3d.png |
三维Pareto可视化 |
mitigation_strategies.png |
减排策略对比 |
decision_analysis.png |
决策分析图 |
decision_chart.png |
决策流程图 |
comprehensive_summary.png |
综合汇总图(雷达图+表格+结论) |
environmental_report.txt |
详细文字报告 |
scenario_comparison.csv |
数据表 |
pareto_front_data.csv |
Pareto前沿数据 |







